2023-11-21 nieziwei
电抗
与直流电路中电阻对电流的阻断作用类似,在交流电路(如串联RLC电路)中,电容和电感也阻断电流,称为电抗,其测量单位也称为欧姆。在交流电路分析中,电抗用X表示,X是复阻抗的虚部,用于表示电感和电容对电流的阻碍作用。电抗随交流电路的频率而变化,并导致电路电流和电压之间的相位变化。
1分析
阻抗是电阻和电抗的总和,数学上表示为:
其中,Z是以欧姆为单位的阻抗,R是以欧姆计的电阻,X是以欧姆表示的电抗,j是虚单位。
当X>0时,称为感抗;
当X=0时,阻抗为纯电阻;
当X<0时,称为容抗。
在一般应用中,只需要知道阻抗的强度:
对于电阻为0的理想纯电感或容抗组件,阻抗强度是电抗的大小。
一般电路的总电抗等于:
其中,是电路的电感,也是电路的电容。
事实上,大多数负载都是电感性的,比如变压器和电机。将感抗定义为正,将容抗定义为负,可以避免负数并便于计算。
2感抗
由于电路中存在感应电路(如线圈),由此产生的电磁场变化将产生阻碍电流变化的相应感应电动势。这种效应被称为感应电阻。电流变化越大,即电路频率越高,电感就越大;当频率变为0,变成直流电时,电感也变为0。感抗会导致电流和电压之间的相位差。
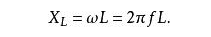
感抗可通过以下公式计算:
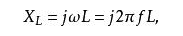
在复杂分析中:
其中,是复数单位,是电感,单位为欧姆,是角速度,单位为弧度每秒,是频率,单位为赫兹,是线圈电感,单位是亨利。
3容抗
容抗的概念反映了交流电流可以通过电容器的特性。交流电的频率越高,容抗越小,也就是说,电容器的阻塞效应越小。电容电抗也会导致电容两端的电流和电压之间的相位差。当频率等于零时,容抗是无限的,这意味着直流电不能流过电容器。
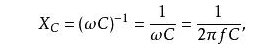
容抗可通过以下公式计算:
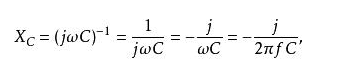
在交流电的复分析中,电容阻抗表示为:
其中,是复数单位,是电容,单位为欧姆,是角速度,单位为弧度每秒,是频率,单位为赫兹,是电容和单位为法拉。